接触 新闻
简体中文

适用于您应用的高性能化学品

产品

首页 » 产品 » 表面活性剂 » 烷基​​糖苷 0810 / APG 0810

loading

分享到:

烷基​​糖苷 0810 / APG 0810

CAS No. 68515-73-1
状态:
数量:

产品描述

产品名称 (Product Name) 烷基糖苷 APG 0810 (Alkyl Polyglucoside)
(INCI名称: 辛基/癸基葡糖苷 Caprylyl/Capryl Glucoside)
CAS 编号 (CAS NO.) 68515-73-1
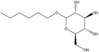
分子式与碳链分布 C16H32O6 (近似值)
烷基链长 (Alkyl Chain): C8 - C10 (短碳链)
化学结构式 APG 0810 化学结构式
技术指标 (Specifications)
  • 外观: 浅黄色至琥珀色粘稠液体

  • 固含量: 50% / 60% / 70% (可定制)

  • pH值 (10%水溶液): 11.5 - 12.5 (优异的耐强碱稳定性)

  • 粘度 (20℃): ≥ 2000 mPa.s

  • 残留醇: ≤ 1.0%

  • 灰分: ≤ 3.0%

主要应用 (Applications)

APG 0810 是一种多功能非离子表面活性剂,以温和性、高溶解度和耐碱性著称:

  • 农化助剂: 除草剂增效剂(特别是用于草甘膦水剂),可显著提高药液在叶面的展着性和渗透性。

  • 硬表面清洗: 由于其极高的耐碱性,非常适合用于工业强碱清洗剂、啤酒瓶清洗、金属清洗和丝光液中。

  • 个人护理: 在洗发水、洁面乳和泡泡浴中作为温和的辅助表面活性剂(共表面活性剂)。泡沫丰富,对皮肤刺激性极低。

可持续性与包装 环保特性: 100% 生物基来源(玉米淀粉 + 天然脂肪醇)。易生物降解(28天降解率 >99.4%)。
包装: 220kg HDPE 塑料桶 / 1100kg IBC 吨桶。
储存: 保质期 2 年。避免低温冻结。

与 优雅化工一起转向绿色表面活性剂

我们提供多种固含量的 APG 0810 (50%-70%) 以适应您的配方需求。
正在寻找草甘膦专用助剂或温和日化原料?
点击咨询免费样品与报价

上一条: 
下一条: 
产品咨询

快速链接

联系我们

产品咨询:

 inquiry@royal-chem.com

 +86 25 86655873
 +86 25 52279193

投诉建议:

  suggestion@royal-chem.com
物流查询:

doc@royal-chem.com
投递简历:

summer.liu@royal-chem.com

请输入您的信息

 版权所有©2021 安徽优雅化工有限公司  保留所有权利。技术支持领动|网站地图         皖ICP备12014668号-1