接触 新闻
简体中文

适用于您应用的高性能化学品

产品

首页 » 产品 » 涂料及胶黏剂 » 其他 » 1,3,5-三(三甲氧基硅丙基)异氰脲酸酯

loading

分享到:

1,3,5-三(三甲氧基硅丙基)异氰脲酸酯

CAS NO. 26115-70-8
状态:
数量:

产品描述

产品名称 1,3,5-三(三甲氧基硅丙基)异氰脲酸酯
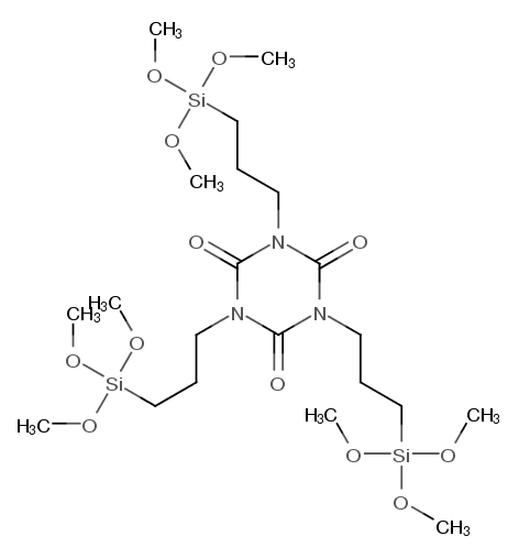
英文名称 Tris(3-trimethoxysilylpropyl) isocyanurate (常用缩写:TTMSPI)
CAS NO 26115-70-8
分子式 C21H45N3O12Si3
结构式 Tris(3-trimethoxysilylpropyl) isocyanurate Structure
技术指标
外观 无色或淡黄色透明液体
纯度 ≥95.0%
沸点(760 mmHg) 543 °C
闭杯闪点 282 °C
应用与优势
应用
  • 胶黏剂/密封胶:用作粘接促进剂硅烷交联剂,提升对玻璃、金属、塑料等基材的附着力。

  • 热熔胶、SPUR/MS 等体系:提高交联密度与耐久性。

  • 无机材料表面改性:改善填料(如 SiO₂、Al₂O₃、CaCO₃)与树脂相容性。

重点
  • 低挥发、耐热性好,配方友好;

  • 与常见树脂/预聚物兼容;

  • 可提供 COA/TDS/SDS,支持出口资料。

供货信息
包装与交付 常规 1 kg / 25 kg(可按需分装);支持 FOB/CIF 等条款,全球快速发运。
样品与文件 可提供小样评估;下单随货附 COA,TDS/SDS 可下载或邮件索取。
存储建议 避潮密封,置于阴凉干燥处,启封后尽快使用。

注:以上数据为典型值,具体以检验报告为准。

上一条: 
下一条: 
产品咨询

快速链接

联系我们

产品咨询:

 inquiry@royal-chem.com

 +86 25 86655873
 +86 25 52279193

投诉建议:

  suggestion@royal-chem.com
物流查询:

doc@royal-chem.com
投递简历:

summer.liu@royal-chem.com

请输入您的信息

 版权所有©2021 安徽优雅化工有限公司  保留所有权利。技术支持领动|网站地图         皖ICP备12014668号-1